首页/科普/正文
qgis编程窗口

 2024年04月30日  阅读 930  评论 0

摘要:了解AQS编程AQS(AbstractQueuedSynchronizer)是Java中用于实现同步器的抽象基类。AQS主要用于实现锁和相关的同步器,如Semaphore、ReentrantLock等

了解AQS编程

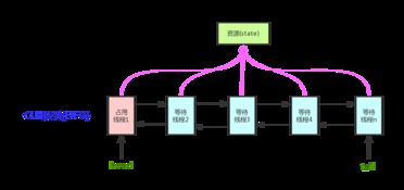
AQS (AbstractQueuedSynchronizer)是Java中用于实现同步器的抽象基类。

AQS主要用于实现锁和相关的同步器,如Semaphore、ReentrantLock等。它提供了一种灵活且强大的方式来构建线程安全的数据结构和算法。

AQS核心的概念是“状态”和“阻塞队列”。每个AQS都有一个状态(state),线程通过AQS的API来改变这个状态。AQS还维护了一个阻塞队列,用于存放被阻塞的线程。

在AQS中,有两类方法:

  • 独占方法:用于实现独占式同步,如acquire和release。
  • 共享方法:用于实现共享式同步,如acquireShared和releaseShared。
  • 以下是一个简单的AQS实现示例,实现了一个自定义的同步器:

    ```java

    import java.util.concurrent.locks.AbstractQueuedSynchronizer;

    public class MySync extends AbstractQueuedSynchronizer {

    @Override

    protected boolean tryAcquire(int arg) {

    // 实现自定义的获取锁逻辑

    return true;

    }

    @Override

    protected boolean tryRelease(int arg) {

    // 实现自定义的释放锁逻辑

    return true;

    }

    }

    ```

    在实际的开发中,我们可以基于AQS来构建适合特定场景的同步器,实现更加灵活和高效的同步机制。

    如果你准备使用AQS来实现自定义的同步器,建议深入学习AQS的原理和用法,同时结合具体的业务需求来设计和实现同步机制。

    版权声明:本文为 “联成科技技术有限公司” 原创文章,转载请附上原文出处链接及本声明;

    原文链接:https://lckjcn.com/post/24713.html

    • 文章59758
    • 评论0
    • 浏览36624292
    关于 我们
    免责声明:本网站部分内容由用户自行上传,若侵犯了您的权益,请联系我们处理,谢谢! 沪ICP备2023034384号-10
    免责声明:本网站部分内容由用户自行上传,若侵犯了您的权益,请联系我们处理,谢谢! RSS订阅本站最新文章 沪ICP备2023034384号-10 网站地图